Nomenclature

Points to remember in Nomenclature

Examples of Compounds containing different functional groups with common/trivial names.

Secondary suffix of some common functional groups (IUPAC)

A secondary suffix is added to the primary suffix to indicate the nature of the functional group present in the organic compound. Secondary suffixes of important functional groups are given below in their decreasing order of seniority.

IUPAC system of nomenclature

The IUPAC name of any organic compound consists of maximum five parts in the following sequence.

Secondary prefix + Primary prefix + Word root + Primary suffix + Secondary suffix

The following examples illustrate the use of word root, primary suffix and secondary suffix in naming of organic compounds.

The following examples illustrate the use of word root, primary prefix and secondary prefix in naming of organic compounds.

Ex.(i)

(ii)

(iii) The process of photosynthesis in plants is primarily dependent on the presence of sunlight, and without it, the process cannot occur.

Position of double bond will be indicated as no. 1, Hence name will be 3-Methyl-3-propylhex-1-ene

Allyl halides

These are the compounds where the halogen group is attached to a hybridised carbon atom next to the carbon which is already in a double bond with another carbon atom. In both S N 1 and S N 2 mechanisms, these halides are reactive.

Vinyl halide

A vinyl halide is a compound with the formula CH2=CHX (X = halide). The term vinyl is often used to describe any alkenyl group. For this reason, alkenyl halides with the formula RCH=CHX are sometimes called vinyl halides.

Common and IUPAC Names of Some Organic Compounds

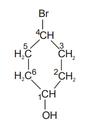
Structural representation of organic compounds



sathee Ask SATHEE

Welcome to SATHEE !
Select from 'Menu' to explore our services, or ask SATHEE to get started. Let's embark on this journey of growth together! 🌐📚🚀🎓

I'm relatively new and can sometimes make mistakes.
If you notice any error, such as an incorrect solution, please use the thumbs down icon to aid my learning.
To begin your journey now, click on

Please select your preferred language