Reduction

Points to remember in Reduction

(2) $\mathrm{NaBH}_{4}, \mathrm{EtOH}$

Aldehyde $\longrightarrow 1^{\circ}$ Alcohol

Ketone $\longrightarrow 2{ }^{\circ} \mathrm{Alcohol}$

Acid halide $\longrightarrow 1^{\circ}$ Alcohol

(3) $\mathrm{Na} / \mathrm{EtOH}$ (Bouveault–Blanc reduction)

Aldehyde $\longrightarrow 1^{\circ}$ Alcohol$\quad$ Ketone $\longrightarrow 2^{\circ}$ Alcohol

Acid halide $\longrightarrow 1^{\circ}$ Alcohol $\quad$ Ester $\longrightarrow$ Alcohol + Alcohol

$RCN \longrightarrow RCH_{2} NH_{2}$

(4) $\mathrm{Na}-\mathrm{Hg} / \mathrm{HCl}$ or

$\mathrm{Al}[\mathrm{OCHMe}]_{3}$ (MPV Reduction)

Aldehyde $\longrightarrow 1^{\circ}$ Alcohol $\quad$ Ketone $\longrightarrow 2^{\circ}$ Alcohol

(5) Rosenmund Reduction
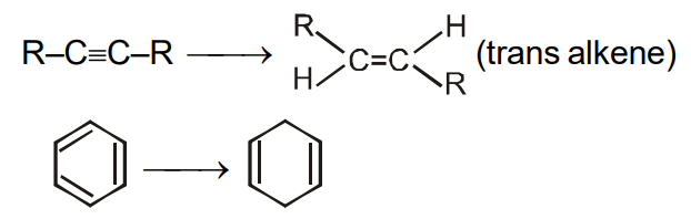
(6) Birch reduction

(Li/Na/K + Liquid $\mathrm{NH}_{3}$ )

Note : Terminal alkynes not reduced

(7) Stephen’s Reduction

$R-C \equiv N \xrightarrow[(2) H_{2} O]{(1) SnCl_{2} / HCl} {R}-{CH} = O$

Note : DIBAL-H is also used for same conversion.

(8) Clemmensen Reduction

Avoid if acid sensitive groups are present in molecule. e.g. $\mathrm{C}=\mathrm{C}, \mathrm{C} \equiv \mathrm{C}, \mathrm{OH}, \mathrm{OR}$,

(9) Wolff-Kishner Reduction

Avoid if base sensitive groups are present in molecule. e.g. COOR, $\mathrm{COX}, \mathrm{CONH}_{n}$,

$-\mathrm{CO}-\mathrm{O}-\mathrm{CO}-\mathrm{R}-\mathrm{X}$

(11) Red Phosphorus and HI

Almost all functional groups containing compounds converts into corresponding alkane by red $\mathrm{P}+\mathrm{HI}$.

  • $R-CH_{2} OH \longrightarrow R - CH_{3} $

  • $R-CHO \longrightarrow R-CH_{3}$

  • $R_{2} CO \longrightarrow R_{2} CH_{2} $ (Alkane)

(12) DIABAL-H reduction

$\mathrm{R}-\mathrm{C} \equiv \mathrm{N} \xrightarrow{\mathrm{DIBAL}-\mathrm{H}} \mathrm{R}-\mathrm{CH}=\mathrm{O}$

At ordinary temperature esters reduced to alcohols but at low temperature esters reduced to aldehyde.

Hydrogenation


sathee Ask SATHEE

Welcome to SATHEE !
Select from 'Menu' to explore our services, or ask SATHEE to get started. Let's embark on this journey of growth together! 🌐📚🚀🎓

I'm relatively new and can sometimes make mistakes.
If you notice any error, such as an incorrect solution, please use the thumbs down icon to aid my learning.
To begin your journey now, click on

Please select your preferred language